火灾烟气运动计算流程
6.2.1.2 输入信息包括:
——建筑物参数(材料热物性、几何尺寸、开口条件);
——环境参数(主导风速度和方向、室外温度、建筑内温度场、由通风系统造成的室内空气流动);
——火灾规模(热释放速率、火羽流的质量流量、烟气生成速率);
——温度边界条件(火羽流的温度场);
——压力场/速度边界条件(起火房间内压力场、门窗的空气流动);
——烟气组分描述(火羽流中烟气组分生成速率、质量流量)。
6.2.1.3 输出信息包括:
——烟气分布(建筑内烟密度分布);
——温度场(建筑内温度场);
——压力场/速度场(排烟口压力、通风口流量、顶棚射流速度);
——烟气生成物组分浓度(建筑内气体组分浓度分布)。
6.2.2 火灾烟气运动过程
6.2.2.1 概述
火灾烟气的蔓延主要借助于其浮力和空气卷吸作用。控制蔓延的方式包括设置挡烟装置、排烟装置和形成压差。火灾烟气的温度和其浮力取决于热释放速率和冷空气进入火羽流的卷吸率。卷吸作用可以减少烟气粒子的浓度、降低烟气的温度、提高能见度,同时也会增加烟气量。火羽流上升到顶棚后在顶棚下水平蔓延,在光滑的顶棚或短距离的屋顶水平方向卷吸量很小,可忽略不计;当烟气流绕过障碍物或通过开口时,卷吸量将明显增加。燃烧物的质量流量与火羽流卷吸量相比通常很小,也可忽略不计。
6.2.2.2 火羽流
6.2.2.2.1 火羽流的温度和速度分布特点决定了质量流和能量流会随羽流高度的变化而变化。火羽流模型可以通过简化基本规律以及实验数据的拟合得到。用于消防安全工程的火羽流模型大多将火源假设为一个虚拟点火源。
6.2.2.2.2 输入信息包括:
——热释放速率(总热释放速率、对流热释放速率);
——火源尺寸;
——环境温度。
6.2.2.2.3 输出信息包括:
——火羽流中不同位置的平均温度和平均速度;
——火羽流中不同高度的质量流量。
6.2.2.3 顶棚射流
6.2.2.3.1 当火羽流到达顶棚,竖直扩展的火羽流受到顶棚的阻挡,形成水平流动的顶棚射流。顶棚射流携带燃烧产物远离火源轴线。顶棚射流和顶棚之间的摩擦减缓了顶棚表面烟气的流动速度,可能对火灾探测器和喷淋系统的动作产生影响。
6.2.2.3.2 输入信息包括:
——热释放速率;
——火源尺寸;
——环境温度。
6.2.2.3.3 输出信息包括:
——顶棚射流中不同位置的平均温度和平均速度;
——顶棚射流中不同轴向距离处的质量和能量流。
6.2.2.4 热烟气层
6.2.2.4.1 由于浮力作用,燃烧产物聚集在房间上层形成烟气层。为便于计算,一般假设烟气层足够均匀,可用单一温度表征,烟气层的厚度和温度取决流入该烟气层的质量流、能量流、边界壁面热损失、房间的下层冷空气层以及溢流出房间的质量和对流传热等。
如果羽流到达顶棚并形成射流,射流温度可能比顶棚的平均温度高,使火灾探测器和喷淋系统具有更快的响应速度。顶棚有排烟口的情况下,火焰在排烟口直接流向外部开放空间,造成大量热损失,从而造成火灾探测器和喷淋系统的响应延迟。
6.2.2.4.2 输入信息包括:
——热释放速率;
——火羽流的质量和对流能量;
——房间开口的流入与流出;
——边界热损失;
——初始温度及流场特性;
——房间尺寸。
6.2.2.4.3 输出信息包括:
——热烟气层的温度和厚度。
6.2.2.5 开口烟流
6.2.2.5.1 门、窗等开口部使得火焰和燃烧产物扩散到火源所在室内空间之外,同时使得外部空气进入其中从而影响火灾规模的大小。对于垂直方向的开口,可采用单区域或双区域模型,在火源所在房间温度已知的条件下,计算得出开口烟气的质量流量。水平方向开口烟流的定量计算非常复杂,尤其当新鲜空气与燃烧产物通过同一开口部流入和流出室内空间时,很难对开口烟流进行定量计算。
6.2.2.5.2 输入信息包括:
——建筑物参数(开口尺寸、开口流量系数和其他开口);
——环境参数(外部风、温度);
——房间内的温度分布特征;
——压力和风速。
6.2.2.5.3 输出信息包括:
——通过开口的质量、体积和能量。
6.2.2.6 机械排烟
6.2.2.6.1 机械排烟系统在发生火灾时启动排烟机,将着火房间中产生的烟气通过排烟口排到室外,其排烟量通常采用体积换气法或面积指标法计算得出。
6.2.2.6.2 输入信息包括:
——建筑物参数(排烟风管、开口、气密性特点、风机压力-流量曲线、结构尺寸);
——环境参数(外部风、温度);
——房间内的温度分布特征;
——房间内压力/风速特征。
6.2.2.6.3 输出信息包括:
——通过排烟口的烟气质量、体积。
6.2.2.7 烟囱效应
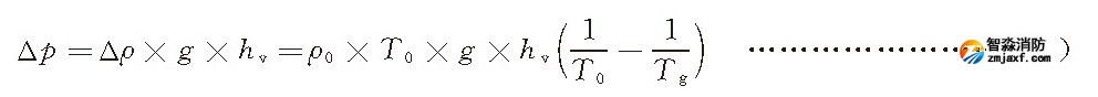
6.2.2.7.1 烟卤效应是建筑火灾中烟气流动的主要影响因素,烟囱效应一定程度上影响烟气在建筑内的蔓延。当外界温度较低时,在建筑物中的竖井内存在向上的空气流动,称为正向烟囱效应。在正向烟囱效应的影响下,空气流动能够促使烟气从着火区通过建筑内竖向通道上升至建筑内较高楼层。而当外界温度较高时,在建筑物中的竖井内则存在向下的空气流动,称为逆向烟囱效应。烟囱效应所产生的压差可用式(1)来描述:
6.2.2.7.2 输入信息包括:
——建筑物参数(竖向通道尺寸和开口尺寸);
——温度分布(竖向通道内外温度分布)。
6.2.2.7.3 输出信息包括:
——流入竖向通道中烟气的体积流率和质量流速。
6.2.2.8 通风管道的烟气运动
6.2.2.8.1 通风系统通常是在设计的压力和温度条件下进行工作,火灾发生时将破坏其工作状态,并影响起火房间的气流。为避免火灾烟气通过通风管道蔓延,通常在通风管道中安装有防火阀、防烟阀,但防火阀、防烟阀通常有缝隙,仍会有漏烟发生,所以还应对通风管道内的火灾烟气流动进行评估。另外,火灾烟气的分层可能会受到机械通风的影响,此时温度梯度分布和组分分布与自然通风时的情况不同,双区域模型可能不适用。
6.2.2.8.2 输入信息包括:
——建筑物参数(通风管道的位置和尺寸、风机性能);
——环境条件(外部温度和风向);
——起火房间及建筑内温度分布;
——起火房间及建筑内压力场/速度场特征。
6.2.2.8.3 输出信息包括:
——通风管道内流入的火灾烟气的体积及质量流速。
6.2.3 烟气组分
6.2.3.1 火灾烟气中含有大量导致能见度下降的颗粒物和多种有毒气体。本部分规定了可用于评估远离火源位置的烟密度或烟气组分浓度的方法。
区域模型中假定烟气良好混合,即颗粒物或组分浓度均匀分布在一个恒温的空间内。组分i的浓度可通过式(2)积分获得:
如果流入和流出起火房间烟气的体积流率

以及流入烟气的浓度C
in是已知的,那么火源所在房间内的烟气组分浓度可以通过式(3)积分获得:
采用场模型可以得到更加详细的烟气组分分布。
6.2.3.2 输入信息包括:
——可见的烟气和气体组分的生成速率;
——流入烟层的烟气和气体组分的浓度;
——流入房间的体积流率。
6.2.3.3 输出信息包括:
——组分浓度;
——烟气密度。
火灾烟气的非热损伤
6.3.1 火灾烟气的非热损伤包括表面腐蚀、结构损伤、电气故障、变色、异味等。火灾烟气中的酸性气体产物可能会导致钢筋混凝土结构建筑物中钢筋的腐蚀,使其结构性能下降。燃烧产生的烟灰沉积,也可能会导致控制面板、微电路、电气开关和电路板等出现故障。这些损伤都可视为火灾烟气的非热损伤。非热损伤的严重程度取决于沉积在建筑构件、家具和设备表面的火灾产物的化学特性、物理特性、移动和沉积等因素。
6.3.2 输入信息包括:
——腐蚀性火灾烟气的浓度;
——沉积表面的特性。
6.3.3 输出信息包括:
——非热损伤的潜在可能性(包括设备功能丧失的可能性等)。
智淼消防检测设备厂家:一二级消防检测工具箱、消防安全评估软件、消防维护保养检测设备、消防电气检测仪器、防雷检测装置、消防监督检查箱、火灾现场勘查工具箱、人防工程检测仪器,消防测试烟枪、多功能试水装置、消防检测设备仪器配置报价,消防检测设备网站:http://www.zhihuixf.cn/;消防检测仪器厂家服务热线:4006-598-119